Thông báo lịch thi
Hỗ trợ trực tuyến

Hotline 1 (Hà Nội): 098 747 66 88

Hotline 2 (HCM): 0839 25 6699

Hotline 3: 0913 69 3303

Hotline 4: 0896 48 66 99

Hotline 5: 02422 40 40 40
Chúng tôi trên facebook
Thống kê truy cập
602
6,304
65,077
143,146
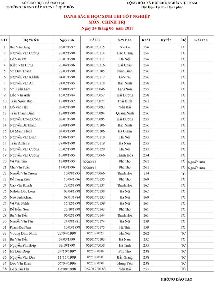
THÔNG BÁO LỊCH THI VÀ DANH SÁCH THI TỐT NGHIỆP NGÀY 24/06/2017